Châu Văn Liêm Logo

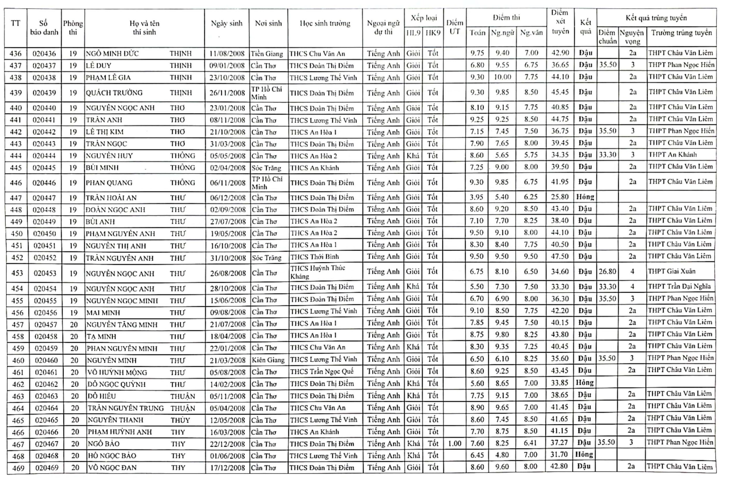
KẾT QUẢ KỲ THI TUYỂN SINH LỚP 10 THPT NĂM HỌC 2023 – 2024

Chia sẻ bài viết: